無功補償電抗率選7%還是14%,電抗率越高越好?
并聯電容器補償裝置因其容量組合靈活、安裝維護簡單、投資少而被廣泛應用于電力系統中。作為無功電力的主要電源,在電力系統調相調壓、穩定運行、提高電能質量、降低損耗和節能方面發揮著重要作用。伴隨著電力事業的迅速發展,電容裝置的安裝投運容量也迅速增加。同時,隨著電力電子技術的廣泛應用,帶整流器的設備,如變頻調速裝置、UPS電源裝置、軟啟動器、新型節能電光源等產生高次諧波電流的電氣設備應用越來越多,給電網帶來嚴重的諧波污染,導致一系列設備問題。例如電機振動、發熱、變壓器附加損耗、容性電路過電流、干擾通信、電子設備誤觸發等。因此,必須重視諧波污染。抑制諧波的措施有很多,比如改變變壓器的接線方式;安裝濾波裝置;安裝靜態(動態)無功補償裝置;在電容電路中安裝串聯電抗器等。
引文作者:上海蓋能電氣市場部(專注干式變壓器30年)電話:189 1886 3098(微信同號)
目前,我國許多用電單位使用傳統的單純電容器進行無功補償,其補償裝置的運行受到嚴重威脅,電力電容器的故障率越來越高。本文主要探討在電容器上安裝串聯電抗器,以抑制諧波,避免電容器與電網串聯或并聯諧振,從而提高系統的功率因數,保證補償電容器的穩定運行。
一、諧波對補償系統的影響
無功補償系統中,電網以感抗為主,電容電路以容抗為主。在工頻條件下,并聯電容器的容抗遠大于系統的感抗。補償電容器向電網發出無功功率,對電網進行無功補償,提高了系統的功率因數。系統中有背景諧波。非線性負荷會產生大量諧波電流注入電網,導致電壓和電流波形畸變。影響電力電容器的正常運行。
1.1電容器過流
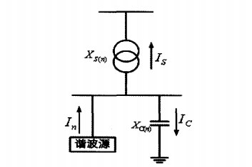
諧波分流原理圖如圖1所示:

n次諧波下變壓器阻抗:
XS(n)=2πf(n)L(1)
n次諧波下電容阻抗:
XC(n)=1/2πf(n)L(2)
當存在高次諧波時,由于f(n)增大,XS(n)增大,XC(n)減少,導致大量諧波電流涌入電容器。假定電容器在滿載電流下工作,如果加上諧波電流,電容器的額定電流大于1.3倍,電容器就會出現故障。
1.2與系統并聯諧振
當大量非線性負荷掛網運行時,電網會出現嚴重的電壓畸變和電流畸變。此時,諧波源相當于一個大型電流源,其產生的諧波電流加入系統感抗和電容器容抗之間,并聯電路如圖2所示。

從圖中可以看出,諧波電流部分流經XS(n),部分流經XC(n),回路阻抗為:

當n為諧波時,電網感抗等于電容器容抗XC(n),形成并聯諧振,并聯電路總阻抗等于無限大。當諧波電流流經阻抗無限的電路時。它會產生無限的諧波電壓,在電網和電容器之間產生大電流,導致電容器故障。
二、串聯電抗器對諧波的抑制
無功補償電容器電路串聯電抗器多用于電氣設計,抑制諧波。諧波源從電力系統中吸收的畸變電流可分解為基波分量和諧波分量,與基波分量和供電網阻抗無關,因此諧波可視為恒流源。電力系統簡化電路和諧波等效電路如圖3、4所示:

圖中In為諧波電氣設備,XS為系統基波阻抗,XL為串聯電抗器基波阻抗,XC為電容器基波阻抗。在n次諧波條件下,諧波阻抗分別為:XS(n)=nXs;XL(n)=nXL;XC(n)=XC/n。
從等效電路阻抗圖4可以得到,流入供電系統的諧波電流I為:

流入并補裝置的諧波電流ICn為:
系統諧波阻抗與系統大小運行方式的短路容量有關。從公式(4)、(5)可以看出,關鍵在于XL和XC的取值,現就典型情況討論如下(見表1)。
從表1可以看出。為了抑制諧波電流,無功補償電路串聯電抗器必須使電路電抗對諧波源產生的低次諧波電具有電感性,即滿足:

n是主要諧波的低次數。從上面的討論可以看出,對于同一個系統來說,由于k值不同,其運行狀態也不同,所以正確選擇電抗器的電抗率k值非常重要。

三、電抗率的選擇
《并聯電容器裝置設計規范》GB50227-2017中指出了串聯電抗器電抗率的配置標準:用于抑制諧波時,電抗率應根據并聯電容器裝置與電網相連的背景諧波含量的測量值進行選擇。當諧波超過5次時,電抗率應為5.0%;當諧波超過3次時,電抗率應為12.0%,也可采用5.0%和12.0%的混合電抗率。
因此,在選擇和補充裝置串聯電抗器電抗值參數時,首先要研究供電系統中主要諧波次數的范圍,然后確定其電抗值的百分比,避開可能的諧波放大區域。
可得式(6):

ω為基波角速度,ω=2πf=100π
這時。實際調諧頻率為:
從公式(7)可以看出,如果系統背景諧波主要是5次諧波,則應串5%或6%電抗器,諧振點為224Hz或204Hz(可避免5次諧波以上250Hz的諧振);如果背景諧波主要是4次諧波,則應串7%或8%電抗器.諧振點為189Hz或177Hz(可避免4次諧波以上200Hz的諧振);如果系統背景諧波主要是3次諧波,則應串12%或13%電抗器。諧振點為144Hz或139Hz(可避免諧次以上諧波150Hz的諧振)。
四、串聯電抗器后應注意的問題
串聯電抗器會帶來一些新的問題。如果不注意,也會對電容器的使用造成危害。
4.1選擇電容器的額定電壓
在選擇電容器的額定電壓時,應考慮電容器組投入運行后的預期母線運行電壓。為使電容器擇電容器的額定電壓,達到經濟安全運行的目的,在分析電容器的預期運行電壓時,應考慮以下情況:
(1)并聯電容器裝置接入電網后電網電壓升高;
(2)諧波引起的電網電壓升高;
(3)安裝電抗器導致電容器端子電壓升高;
(4)相間和串聯段之間的容差會導致電壓分配不均勻,增加部分電容器所承受的電壓;
(5)輕負荷導致電網電壓升高。
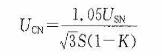
因此,綜合考慮后,電容器額定電壓的選擇按下式確定:
其中UCN是單個電容器的額定電壓,USN是接入點系統的電壓,S是電容器組每相的串聯段數,K是電抗率。以低壓400V系統和串聯電抗率6%的電抗器為例,計算電容器額定電壓Uc=446.8V,即電容器額定電壓應考慮450V以上。
4.2選擇電容器補償容量
串聯相應的電抗器,確定補償電容器的額定電壓后,安裝容量不同于實際輸出容量,兩者的關系可以按下式計算:
Q1是電容器的輸出容量,Q2是電容器的安裝容量,U2是電容器的運行電壓,U1是電容器的額定電壓,K是電抗率。可以看出,如果僅僅提高電容器的額定電壓。在實際操作中,如果低于額定電壓,就會出現無功容量損失,導致無功補償不足。因此,在選擇補償電容時,應考慮串聯電抗器引起的電容輸出容量的變化,并保留部分裕量。
4.3諧波放大
可以通過式(6)得到,如果串聯電抗器的電抗率為6%,則補回路抑制諧波的次數為:

也就是說,6%的串聯電抗器抑制諧波超過5次。然而,三次或三次以上諧波電流的放大非常嚴重,導致電容器組損壞。因此,經過大量的運營和經驗數據,國家規定。需要抑制5次以上諧波,避免3次以上諧波放大,電抗率可選為4.5%。此外,為了解決三次諧波放大的問題,一些變電站的電容器組不是每組串聯6%電抗器,而是幾組串聯6%電抗器,另外幾組串聯12%或13%電抗器。對于某種背景諧波,在選擇串聯電抗率時,首先要研究供電系統中主要諧波的范圍,然后確定其電抗值的百分比,避免并聯、串聯諧振和諧波放大。
五、結束語
電容器無功補償是提高系統功率因數、減少電網無功損耗的重要手段。由于電網有不同程度的諧波,無論何時進行無功補償,都不能拋開諧波問題,否則不僅會危及電容器的安全,還會危及電網系統的安全。串聯電抗器是無功補償電容器組的重要組成部分。電抗率的選擇對并聯電容器的運行和系統諧波的抑制有很大影響。因此,在串聯電抗器時,必須測試系統諧波,選擇正確的電抗率,同時提高電容器的額定電壓和安裝容量。