變壓器在地庫充電樁容量指標如何設計?
伴隨著經濟發展,環保、低碳理念的不斷提升,我國逐步推廣新能源汽車。國家發改委公布的數據顯示,2015年我國新能源汽車累計產量達37.9萬輛,其中純電動汽車29.07萬輛、混合動力車8.82萬輛。到2020年,中國新能源汽車的年銷量將達到市場總需求的5%以上,2025年達到20%左右。
引文作者:上海蓋能電氣市場部(專注干式變壓器30年)電話:189 1886 3098(微信同號)
由于新能源汽車的普及,電動汽車充電樁的需求進一步增加。分析表明,目前電動車推廣難的主要原因是充電樁數量少、充電速度慢、目標單一等。
為了幫助新能源汽車推廣,我國正逐步增加對充電樁的配置。2015年10月國務院指導意見指出,在大型公共建筑配建停車場或為充電設施預留建設和安裝條件的車位比例不低于10%。
但國內現行配電設計規范中,對車庫容量的設計指標并未提及充電樁對車庫配電指標的影響。對新建建筑來說,車庫充電樁的配置和帶充電樁的車庫配電容量設計仍然很模糊。
該文通過對現有車庫供電特點、車輛充電設施使用情況、充電樁配置類型和用電特點的調查研究,結合我國現行充電樁設計方法,提出了新建筑設計中車庫充電樁配電容量的指導思想。
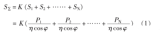
目前國內目前的充電樁設計方法和充電樁的具體應用:
當前,我國新建商業建筑地下車庫在配建充電樁時變壓器容量設計,充電負荷的計算主要參照南方電網充電樁設計規范中的計算方法:

公式中:
P1…PN—各充電樁輸出功率,kW;
S∑=-充電機總輸入容量,kW;
cosφ——電機充電功率因數,取0.9;
η-電機充氣效率,取0.9;
K-充電機同時工作系數,取0.8。
調查研究目前已投入使用的公用充電樁有以下幾種,如下圖所示:
汽車修理廠變壓器容量設計的現狀與問題:
汽車修理廠變壓器容量設計時,一般采用單元指標法進行設計。標準中給出了各類建筑物單位建筑面積用電指標,非機械式汽車庫房用電指標為8~15W/m2,變壓器容量指標為12~34VA/m2。
目前規范對車庫是否安裝充電樁、充電樁比例等問題未作詳細說明,在設計中未考慮是否設置充電樁時,車庫的配電通常也按最大值34VA/m2計算。工程圖紙設計階段,常規車庫變壓器容量設計采用需要系數法,充電樁的配電容量按(1)公式計算。
計算公式(1)每臺充電機輸出功率因設計者缺乏實際測試數據而采用充電樁的額定輸出功率計算,表2中數據表明,實際充電功率為充電樁的額定輸出功率的58%~99.5%,表中只有不到一半的充電效率在80%以上,保守估計根據公式(1)計算結果偏大10%左右。
計算公式(1)中相同工作系數為0.8,對安裝充電樁少(如20臺以下)的變壓器容量影響較小,充電樁的變壓器容量越大,在充電樁大于100臺時,用于充電樁供電的變壓器富余量預計可達10%~30%。
決定同步工作系數的主要因素:
a.由于汽車電池充電的特性,當電池充電0~80%時進行恒流充電,而保護電池則由80%~100%的保護電池改為恒壓充電。同一段時間,不同車輛起步階段不同,充電比例不同,充電樁同時工作系數也不同。
b.就商業建筑而言,日常充電樁主要為上下班及購物人群提供服務。有研究表明,用于上下班和社交/休閑的平均往返距離為30km,交流慢充約為1.5h,直流快充約為0.5h。
對上班族來說,占用充電樁的時間等于工作時長,對于購物人群來說,占用充電樁時間等于購物時間。規定了充電時間,當完成充電后車主未達到工作時間/購物時間,將不會離開車位。這時充電樁同時工作系數有所降低。
電動車充電樁對車庫變壓器容量設計的影響:
充電樁的數量影響:
在調查所有大型商業地產集團的設計指引中發現,單個車位的平攤面積均在25~45m2之間。下表所示平均停車面積:25~45m2,充電樁安裝率:10%~30%時,同一種類型、不同充電樁數對車庫變壓器容量設計指標的影響如下。單機停車面積指標A、裝樁率a對充電樁負荷設計指標的影響見下圖:

同一裝樁率下,隨著單車位均攤面積的增大,變壓器的裝置指標下降。當單車位均攤面積為45m2/個時,充電樁變壓器裝置裝置指標為單車位均攤面積25m2時的55.6%;在相同單車位均攤面積下,充電樁上的變壓器裝置指標上升10%。充電樁安裝率為30%,變壓器充電樁的裝置指標是充電樁安裝率10%時的3倍。
充電樁類型影響:
因為電動車大多使用鋰電池,快速充電電流較大,容易影響鋰電池的壽命,甚至引發爆炸,所以國內電動車在充電時廠家與充電樁通訊協議多限制充電電流。
從現有的充電技術來看,即使充電樁配置電壓、電流增大,實際充電也達不到充電樁的額定功率。
當充電樁安裝比例為10%,充電樁安裝數量為100,單個車位的平攤面積為40m2/m2時,根據公式(2)~(4)不同充電樁組合對充電樁變壓器各參數的影響,如下圖所示:

調查結果表明,在151個充電樁組合形式中,約有35%的充電樁組合形式的充電樁設備指標為10~20VA/m2,其中,充電樁組合形式使充電樁變壓器裝置指標達到20~30VA/m2,約有74%的不同充電樁類型組合,使得充電樁變壓器裝置指標達到30~30VA/m2,約有74%的不同充電樁類型組合,使充電樁變壓器裝置指標達到30~30VA/m2。
在大型快速充電樁安裝率超過73%時,變壓器充電樁指標超過40VA/m2,此時對充電樁的投資較大。
未設充電樁時,停車電耗容量設計優化指標建議值為1.8~10.5W/m2,約2.3~13.4VA/m2;設置充電樁時,應在上述停車場電耗容量設計優化指標推薦值的基礎上增加0~60VA/m2,具體增加充電樁的配電容量指標應根據充電樁型號配比進行計算。
商業建筑的使用性能和投資經濟性能應綜合考慮不同充電樁組合配置。對商業區而言,商場停車位較多,應適當增加配置大型快速充電樁以滿足民眾的快充需求;辦公車位較多時,應適當增加中、小型低速充電樁配置。
盡管在住家停車位、工作地停車位、公共停車場和酒店停車場的充電樁大多采用中低速充電,充電總需求約占80%,快速充電占20%左右。
但由于我國目前已建住宅充電的限制,很多小區不能滿足電動車充電需求,所以商業建筑應綜合考慮經濟性和使用性,合理配置大型快充樁的比例。